{{ 'fb_in_app_browser_popup.desc' | translate }} {{ 'fb_in_app_browser_popup.copy_link' | translate }}

{{ 'in_app_browser_popup.desc' | translate }}

Your Shopping Cart is empty.
{{ (item.variation.media ? item.variation.media.alt_translations : item.product.cover_media.alt_translations) | translateModel }} {{ (item.variation.media
                    ? item.variation.media.alt_translations
                    : item.product.cover_media.alt_translations) | translateModel
                }}
{{ 'product.bundled_products.label' | translate }}
{{ 'product.bundle_group_products.label' | translate }}
{{ 'product.buyandget.label' | translate }}
{{ 'product.gift.label' | translate }}
{{ 'product.addon_products.label' | translate }}
{{item.product.title_translations|translateModel}}
{{ field.name_translations | translateModel }}
  • {{ childProduct.title_translations | translateModel }}

    {{ getChildVariationShorthand(childProduct.child_variation) }}

{{ 'product.set.open_variation' | translate }}
  • {{ getSelectedItemDetail(selectedChildProduct, item).childProductName }} x {{ selectedChildProduct.quantity || 1 }}

    {{ getSelectedItemDetail(selectedChildProduct, item).childVariationName }}

{{item.variation.name}}
{{item.quantity}}x NT$0 {{ item.unit_point }} Point
{{addonItem.product.cover_media.alt_translations | translateModel}}
{{ 'product.addon_products.label' | translate }}
{{addonItem.product.title_translations|translateModel}}
{{addonItem.quantity}}x {{ mainConfig.merchantData.base_currency.alternate_symbol + "0" }}

Sumeasy Mask Test Report

Nelson認證NL2200301

Nelson Verified Products

Choose Sumeasy, a brand that prioritizes your safety and satisfaction. Our products undergo rigorous testing and certification by Nelson Labs, a globally recognized laboratory. This ensures that you can trust Sumeasy to deliver reliable and high-quality products. To learn more about our commitment to quality, search for Sumeasy by its unique identifier: NL 2200301 on the Nelson website.

微粒過濾效率PFE測試報告

Particle Filtration Efficiency (PFE) Page 1

Particle Size : 0.1um

Average Filtration Efficiency : 99.947%

微粒過濾效率PFE測試報告

Particle Filtration Efficiency (PFE) Page 2

TEST 1 Filtration Efficiency 99.956%

TEST 2 Filtration Efficiency 99.90%

TEST 3 Filtration Efficiency 99.950%

TEST 4 Filtration Efficiency 99.964%

TEST 5 Filtration Efficiency 99.965%

病毒過濾效率VFE測試報告

Viral Filtration Efficiency (VFE) Page 1

The Viral Filtration Efficiency (VFE) test follows the same procedure as BFE, except the challenge organism used is the bacteriophage phiX174.

病毒過濾效率VFE測試報告

Viral Filtration Efficiency (VFE) Page 2

TEST 1 Percent VFE >99.9%

TEST 2 Percent VFE >99.9%

TEST 3 Percent VFE >99.9%

TEST 4 Percent VFE   99.7%

TEST 5 Percent VFE   99.7%

細菌過濾效率BFE測試報告

Bacterial Filtration Efficiency (BFE) Page 1

This test method complies with ASTM F2101-19 and EN 14683:2019, Annex B.

細菌過濾效率BFE測試報告

Bacterial Filtration Efficiency (BFE) Page 2

TEST 1 Percent BFE   99.8%

TEST 2 Percent BFE   99.8%

TEST 3 Percent BFE >99.9%

TEST 4 Percent BFE   99.7%

TEST 5 Percent BFE >99.9%

壓差Delta P測試報告

Differential Pressure (Delta P) 

The Delta P test complies with EN 14683:2019, Annex C , and ASTM F2100-19. The five test articles showed a differential pressure of less than or equal to 4.0 mm H2O/cm2 (40 Pa/cm2) from a flow rate of 8 Liters per minute

抗合成血液穿透性,最小通過壓力 測試報告

Resistance to penetration by synthetic blood Test Pressure 160mmHg (21.3 kPa) Final Report

SGS七堵廠ISO13485認證

SGS認證ISO13485醫療器材品質管理系統

順易利實業有限公司七堵廠

SUM EASY Enterprise Co., Ltd. (Qidu Factory)

AMTIVO驗證通過ISO 13485 醫療器材品質管理系統

AMTIVO認證ISO13485醫療器材品質管理系統

順易利實業有限公司大武崙廠

SUM EASY Enterprise Co., Ltd. (DAWULUN FACTORY)

CNS15290紡織品安全規範測試報告

CNS15290紡織品安全規範測試報告第1頁

偶氮色料、游離甲醛、重金屬鉛均合格零檢出

CNS15290紡織品安全規範測試報告

CNS15290紡織品安全規範測試報告第2頁

偶氮色料衍生特定芳胺的測試

22個禁用芳胺化合物均未檢出

CNS15290紡織品安全規範測試報告第3頁

游離甲醛未檢出

重金屬元素溶出性鉛(Pb)未檢出

CNS15290紡織品安全規範測試報告

CNS15290紡織品安全規範測試報告第4頁

產品外觀及照片

台灣EPSON文創微噴認證

OEKO-TEX®認證紡織品無毒證明

OEKO-TEX®認證紡織品無毒證明第1頁

ECO PASSPORT by OEKO-TEX®是獨立認證體系,針對紡織品和皮革行業中使用的化學品、著色劑和助劑。在多工序工藝過程,我們分析化學產品中的各種成分是否符合法定要求,是否對人體健康無害。品牌商和製造商都將ECO PASSPORT視為可持續紡織品和皮革生產的可靠證明。

OEKO-TEX®認證紡織品無毒證明

OEKO-TEX®認證紡織品無毒證明第2頁

OEKO-TEX®認證紡織品無毒證明

OEKO-TEX®認證紡織品無毒證明第3頁

OEKO-TEX®認證紡織品無毒證明

OEKO-TEX®認證紡織品無毒證明第4頁

OEKO-TEX®認證紡織品無毒證明

OEKO-TEX®認證紡織品無毒證明第5頁

可燃性測試第一頁

可燃性測試第二頁

TEST 1 不著火

TEST 2 不著火

TEST 3 不著火

TEST 4 不著火

TEST 5 不著火

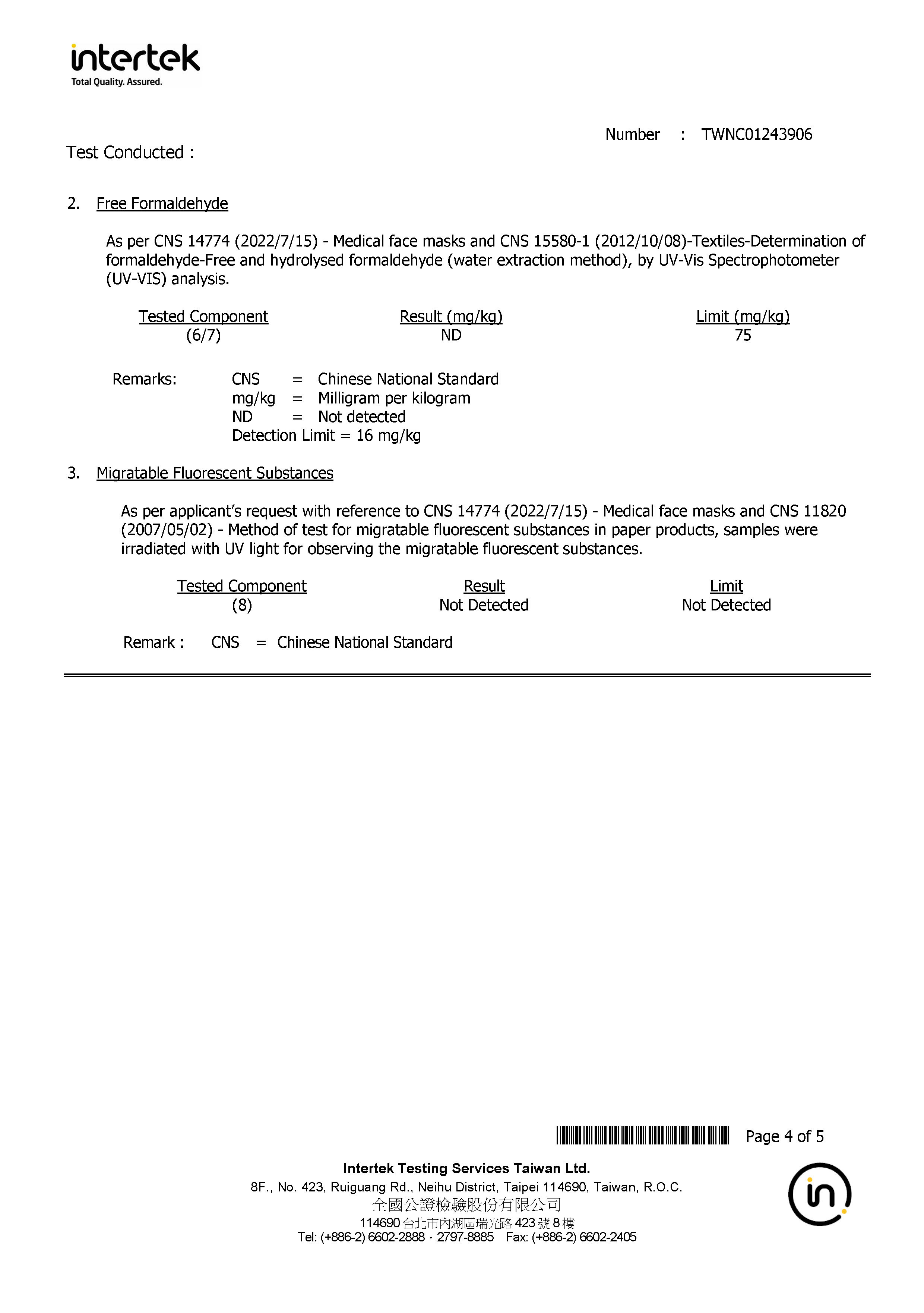
依CNS 14774醫用口罩規範檢測偶氮色料.

游離甲醛.可遷移性螢光物質均合格

偶氮色料衍生特定芳胺的測試

22個禁用芳胺化合物均零檢出

游離甲醛零檢出

可遷移性螢光劑零檢出

整個口罩(含耳帶)無異味

本次測試產品是印刷四分色C.M.Y.K及兩個特別色FP.FY共六色混搭出來的各種比例色塊,產品右下角則是C100% M100% Y100% K100%送驗

依歐盟規範EN14683檢測微生物清潔度,法規要求≤30

TEST 1   3.4

TEST 2   2.5

TEST 3   6.0

TEST 4 <2.1

TEST 5   5.9

 

EN14683微生物清潔度第二頁

240314順易利大武崙平面醫用報告_英文01
240314順易利大武崙平面醫用報告_英文02
240314順易利大武崙平面醫用報告_英文03

感謝您支持並閱讀順易利口罩相關檢測報告,結帳請輸入85折扣碼:NL2200301

Nelson認證

因測試報告眾多,未能完善,如欲更詳盡地瞭解,請聯繫我們。